Menu
×
   ❮   
HTML CSS JAVASCRIPT SQL PYTHON JAVA PHP HOW TO W3.CSS C C++ C# BOOTSTRAP REACT MYSQL JQUERY EXCEL XML DJANGO NUMPY PANDAS NODEJS DSA TYPESCRIPT SWIFT ANGULAR ANGULARJS GIT POSTGRESQL MONGODB ASP AI R GO KOTLIN SWIFT SASS VUE GEN AI SCIPY AWS CYBERSECURITY DATA SCIENCE INTRO TO PROGRAMMING HTML & CSS BASH RUST

DSA Trees


Trees

The Tree data structure is similar to Linked Lists in that each node contains data and can be linked to other nodes.

We have previously covered data structures like Arrays, Linked Lists, Stacks, and Queues. These are all linear structures, which means that each element follows directly after another in a sequence. Trees however, are different. In a Tree, a single element can have multiple 'next' elements, allowing the data structure to branch out in various directions.

The data structure is called a "tree" because it looks like a tree, only upside down, just like in the image below.

R A B C D E F G H I

The Tree data structure can be useful in many cases:

  • Hierarchical Data: File systems, organizational models, etc.
  • Databases: Used for quick data retrieval.
  • Routing Tables: Used for routing data in network algorithms.
  • Sorting/Searching: Used for sorting data and searching for data.
  • Priority Queues: Priority queue data structures are commonly implemented using trees, such as binary heaps.

Tree Terminology and Rules

Learn words used to describe the tree data structure by using the interactive tree visualization below.

R A B C D E F G H I

The first node in a tree is called the root node.

A link connecting one node to another is called an edge.

A parent node has links to its child nodes. Another word for a parent node is internal node.

A node can have zero, one, or many child nodes.

A node can only have one parent node.

Nodes without links to other child nodes are called leaves, or leaf nodes.

The tree height is the maximum number of edges from the root node to a leaf node. The height of the tree above is 2.

The height of a node is the maximum number of edges between the node and a leaf node.

The tree size is the number of nodes in the tree.


Types of Trees

Trees are a fundamental data structure in computer science, used to represent hierarchical relationships. This tutorial covers several key types of trees.

Binary Trees: Each node has up to two children, the left child node and the right child node. This structure is the foundation for more complex tree types like Binay Search Trees and AVL Trees.

Binary Search Trees (BSTs): A type of Binary Tree where for each node, the left child node has a lower value, and the right child node has a higher value.

AVL Trees: A type of Binary Search Tree that self-balances so that for every node, the difference in height between the left and right subtrees is at most one. This balance is maintained through rotations when nodes are inserted or deleted.

Each of these data structures are described in detail on the next pages, including animations and how to implement them.


DSA Exercises

Test Yourself With Exercises

Exercise:

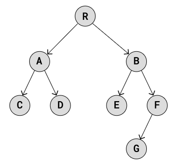
In a Tree data structure, like the one below:

A tree data structure

What are nodes C, D, E, and G called?

Nodes C, D, E, and G 
are called  nodes.

Start the Exercise



×

Contact Sales

If you want to use W3Schools services as an educational institution, team or enterprise, send us an e-mail:
[email protected]

Report Error

If you want to report an error, or if you want to make a suggestion, send us an e-mail:
[email protected]

W3Schools is optimized for learning and training. Examples might be simplified to improve reading and learning. Tutorials, references, and examples are constantly reviewed to avoid errors, but we cannot warrant full correctness of all content. While using W3Schools, you agree to have read and accepted our terms of use, cookies and privacy policy.

Copyright 1999-2026 by Refsnes Data. All Rights Reserved. W3Schools is Powered by W3.CSS.